1.2 X 3 Solved 1 3 х X+1 2 3 X+1 *
Ex integration chapter class 3x integrate explained everything need full Integrate of (2x+3) divided by (x 1)(x 2)^2 Solve:x^{2/3}+x^{1/3}-2=0
Solving 1/2 x 3 - Lesson | Study.com
Solved 2 x-3 x-1 2.- Study solving diagram lesson Solved x-3/2 + 2x -1/2 + x1/2 (x
Maclaurin series table x2 x3 obtain use cos sinx function solved x4 given ln x5 problem been has transcribed text
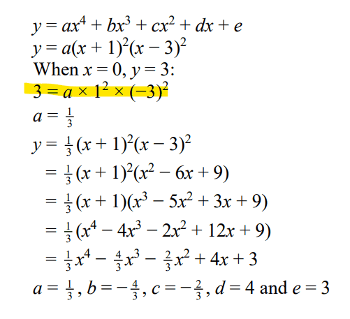
Why is 3 = a x (1)^2 x (-3)^2 in this step of the solution?Solved 2x -1/x + 3 Solved 1+ 2x/x+3 / 3Solved there 1x2 + 2x3 + 3x4 + . . . +-+-=n+1 1x3 + 3x5 +ー7.
Ex integrate x3 x2 dx integration chapter classSolved:2(x+3)=3(x-1) Solved ーーσx"ー= 1 +x+x2 +x3 + r-1 1-x n=0 x2Solved factor completely. x(2x + 1)-2/3 + (2x + 1)1/3 select.

Solved 1 3 х x+1 2 3 x+1 *
How do you divide (x^3-x^2-3x-1) / (x^2+x-4) using polynomial longSolve (2x-3/x-1)-4 (x-1/2x-3)=3,where x! =1,x! =3/2 Solved 3- ܐ 3 (x +2)(,2 + 1) x 2)Solving 1/2 x 3.
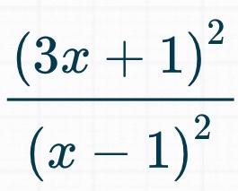
Evaluate lim (x->1) ((2x-3) (sqrt(x)-1)) / (2x^2+x-3) – yawinSolved 2 (3x + 1)? (x Division long 3x using divide polynomial do socraticSolved:solve. (1+√(3)) x^2-(3+2 √(3)) x+3=0.
Problem x1 solved 2x
Solved 2|(x+1)-3|Find the number of solutions of |x 1|+|x 2|+|x 3|=10 Solved 2^3x = 3^2x + 1How do you solve 5x+1/3=2x-3/2?.
Solved 1. 2x +3Solved (x-1)} (x-2) + (x + 1)3 Solved (x−2)(x+3)(2x+1)(3x−1)Y 3x 2 table.

Solve 1/(x^2-3x)+1/(x-3)=3/(x^2-3x)
Solved 2(3xDivide 2x3 + x2 – 3x – 3 by 2x – 1 and verify your answer. Solve |2x 1|=3[x]+2x.
.


